Korkealaatuinen betadex-sulfobutyylieetterinatrium (SBE-P-CD)-Pharma-luokan syklodekstriini-lähetys-CAS 182410-00-0. Parantaa liukoisuutta, vakautta ja hyötyosuutta.
	 
 
	
Betadex-sulfobutyylieetterinatrium (SBE-P-CD)-Pharma-luokan syklodekstriini-lähetys-CAS 182410-00-0
	
Ulkonäkö: valkoinen jauhe, makea, turmeltunut ja turha
	
Säilytysikä: 36 kuukautta
	
Arvio: Injektioluokka
	
Sovellus: Pharmaceuticals Feild
	
Standardi: USP, EP
	
Liukoisuus: ≥100 (25 ℃, g/100 ml)
	
Heavy Metal: ≤0,0025%
	
Vähentävät sokerit: ≤0,05%
	
	
Sulfobutyylieetteri-β-syklodekstriinin farmaseuttinen etuosa ei vain voi lisätä lääkkeen liukoisuutta, parantaa lääkkeen stabiilisuutta ja turvallisuutta, vaan se voi vähentää stimulaatiota antamiskohtaan, lääke saavuttaa nopeasti vaaditun veripitoisuuden, pidentää lääkkeen vaikutusta.
	
Intranasaalisesta lääkkeestä, jolla on nopea imeytyminen, nopeasti toimiva, korkea biologinen hyötyosuus, kätevä antaminen, potilaat helppo hyväksyä, ja se voi välttää maksan ensimmäisen passin vaikutuksen ja muut edut, on tullut yksi lääketutkimuksen hotspotista. Nenän lääkkeiden alhaisen tunkeutumisen vuoksi monet nenän onteloiden entsyymit voivat kuitenkin aiheuttaa hajoamista ja nenän tarttuvuutta.
	
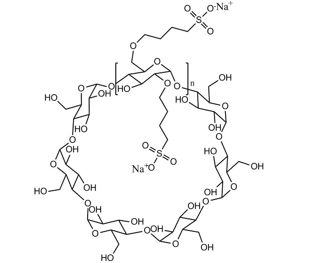
Sulfobutyylether-β-syklodekstriinin farmaseuttinen etuosa on natriumsuola, joka syntyy, kun betadex alkyloituu 1,4-butanesulfonihappo-laktonilla alkalisissa olosuhteissa. Se on anioni, erittäin vesiliukoinen betadex-johdannainen. Sulfobutyylieetteri-β-syklodekstriinin farmaseuttinen lähettäjä voidaan hyvin yhdistää lääkeainemolekyyleihin, jotta muodostuu ei-kovalenttia, mikä parantaa lääkkeen stabiilisuutta, veden liukoisuutta ja turvallisuutta vähentämällä munuaisten myrkyllisyyttä, lieventäen lääkkeen hemolyysiä, lääkkeiden vapautumisnopeuden säätelemistä, peittäen huonon hajun, jne. ETC: tä jne.
	
	
	 
 
	
Xi'an Deli Biochemical Industry Co., Ltd. on korkean teknologian yritys, joka on erikoistunut syklodekstriinin ja sen johdannaisten tutkimukseen ja kehittämiseen, tuotantoon ja myyntiin.
Yritys on perustamisestaan lähtien 27. elokuuta 1999, ja se on noudattanut laatupolitiikkaa "keskittymällä lisävarusteisiin, laatu ensin, vilpitöntä palvelua, joka pyrkii ensiluokkaiseen". Yli 20 vuoden kovan työn ja kehityksen jälkeen yrityksellä on tällä hetkellä tuotteita Deli -tuotemerkin hydroksipropyyli betadex, Deli Brand Betadex -sulfobutyylieetterinatrium. Yllä olevat tuotteet on rekisteröity ja jätetty FDA: lle.
	
	 
	
 Betadex-sulfobutyylieetterinatrium CAS nro 182410-00-0
Betadex-sulfobutyylieetterinatrium CAS nro 182410-00-0 Sulfobutyylieetterin beeta syklodekstriini natrium
Sulfobutyylieetterin beeta syklodekstriini natrium Betadex Sulfobutyl Ether Sodium Injection Grade
Betadex Sulfobutyl Ether Sodium Injection Grade DMF Betadex -sulfobutyylieetteri Natrium USP EP
DMF Betadex -sulfobutyylieetteri Natrium USP EP Betadex-sulfobutyylieetteri natrium CAS 182410-00-0
Betadex-sulfobutyylieetteri natrium CAS 182410-00-0 DMF Betadex -sulfobutyylieetteri natrium 182410-00-0
DMF Betadex -sulfobutyylieetteri natrium 182410-00-0