Teollisuuden uutisia

Syklodekstriinipohjaiset ratkaisut liukoisuuden ja stabiilisuuden parantamiseen

2025-12-23 - Jätä minulle viesti

Syklodekstriinipohjaiset ratkaisut liukoisuuden ja stabiilisuuden parantamiseen

Hydroksipropyylibetadexin ja Betadex-sulfobutyylieetterin natriumin tekninen yleiskatsaus

Syklodekstriinit tunnetaan laajalti kyvystään parantaa huonosti liukenevien tai kemiallisesti herkkien yhdisteiden liukoisuutta ja stabiilisuutta. Ainutlaatuisen syklisen molekyylirakenteensa ansiosta syklodekstriineistä ja niiden johdannaisista on tullut tärkeitä toiminnallisia apuaineita farmaseuttisilla, kemiallisilla ja vastaavilla formulaatioaloilla. Vastauksena kasvaviin teknisiin ja sääntelyvaatimuksiin Xi'an Deli Biochemical on edelleen hionut teknistä dokumentaatiota ja tuotetukea tärkeimmille syklodekstriinijohdannaisille:hydroksipropyylibetadex (HPBCD) ja beetadeksisulfobutyylieetterinatrium (SBECD).


Syklodekstriinien rakenteelliset ominaisuudet ja toiminnallinen suorituskyky

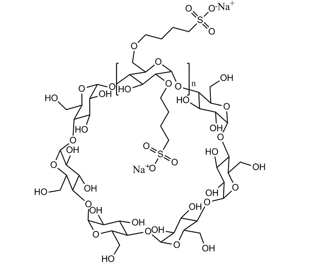
Syklodekstriinit ovat syklisiä oligosakkarideja, jotka koostuvat glukoosiyksiköistä, jotka on liitetty yhteen α-1,4-glykosidisilla sidoksilla. Niiden molekyyliarkkitehtuurissa on hydrofiilinen ulkopinta ja suhteellisen hydrofobinen sisäontelo, mikä mahdollistaa inkluusiokompleksien muodostumisen laajan valikoiman vierasmolekyylejä kanssa. Syklodekstriinin rakenteen kemiallinen modifiointi voi parantaa merkittävästi vesiliukoisuutta ja laajentaa sovellusten monipuolisuutta.


Hydroksipropyylibetadex (HPBCD)


Hydroksipropyylibetadex on kemiallisesti muunneltu β-syklodekstriini, joka on suunniteltu poistamaan natiivisyklodekstriinien rajoitettu liukoisuus. Sen parannettu vesiliukoisuus ja suotuisa yhteensopivuus tekevät HPBCD:stä sopivan sovelluksiin, jotka vaativat tehokasta liukenemista, stabilointia ja formuloinnin joustavuutta erilaisissa järjestelmissä.


Betadex-sulfobutyylieetterin natrium (SBECD)


Betadex-sulfobutyylieetterinatrium on anioninen syklodekstriinijohdannainen, jolle on tunnusomaista sulfobutyylieetterisubstituentit. Tämä rakenne parantaa sähköstaattista vuorovaikutusta tiettyjen yhdisteiden kanssa, mikä tukee parempaa liukoisuutta, kompleksista stabiilisuutta ja formuloinnin kestävyyttä vaativammissa sovelluksissa.

Standardoidut tuotetiedot ja tekninen tuki

Tukeakseen paremmin formulaatiokehitystä, laadunarviointia ja hankintaprosesseja Xi'an Deli Biochemical on järjestelmällisesti päivittänyt HPBCD:n ja SBECD:n tuotetietoja, mukaan lukien:


  • Selkeästi määritellyt ja standardoidut tuotespesifikaatiot ja analyyttiset parametrit
  • Eräkohtaiset analyysisertifikaatit (COA) jäljitettävyyden ja laadunvarmistuksen varmistamiseksi
  • Laajennetut tekniset usein kysytyt kysymykset, jotka koskevat käsittelyä, varastointia ja tyypillisiä sovellusnäkökohtia
  • Optimoidut tuoteyhteenvedot, jotka on suunniteltu helpottamaan tehokasta teknistä tarkistusta ja valintaa


Näiden parannusten tarkoituksena on lisätä läpinäkyvyyttä, lyhentää arvioinnin aikatauluja ja tukea tuotteen tasaista suorituskykyä koko toimitussyklin ajan.


Valmistuskokemus ja laadunvarmistus

Vuonna 1999 perustettu Xi'an Deli Biochemical tuo 26 vuoden kokemuksen syklodekstriinijohdannaisten valmistuksesta. Yritys keskittyy kontrolloituun hydroksipropyylibetadeksin ja betadex-sulfobutyylieetterin natriumin tuotantoon korostaen prosessin johdonmukaisuutta, erien luotettavuutta ja pitkän aikavälin toimitusvakautta. Strukturoidut laadunhallintakäytännöt tukevat asiakkaiden teknisiä, viranomais- ja hankintavaatimuksia.


Sovellusalue ja tekninen yhteistyö

Syklodekstriinin inkluusio- ja stabilointimekanismeihin perustuen HPBCD:tä ja SBECD:tä voidaan soveltaa useilla teknisillä aloilla, mukaan lukien farmaseuttiset koostumukset, erikoiskemikaalit, eläinlääkintätuotteet ja muut parannettua liukoisuutta ja stabiilisuutta vaativat järjestelmät. Xi'an Deli Biochemical jatkaa yhteistyötä kumppaneiden kanssa sovelluskeskeisen viestinnän ja teknisen yhteistyön avulla tukeakseen kehittyviä formulaatiotarpeita.


Tietoja Xi'an Deli Biokemianteollisuusyhtiöistä

Vuonna 1999 perustettu Xi'an Deli Biochemical Industry Companies on syklodekstriinijohdannaisten erikoistunut valmistaja, joka toimittaa hydroksipropyylibetadeksia (HPBCD) ja betadex-sulfobutyylieetterinatriumia (SBECD) maailmanlaajuisille asiakkaille. Pitkään keskittyneenä tuotteiden johdonmukaisuuteen, selkeisiin spesifikaatioihin ja käytännön tekniseen tukeen yritys on edelleen sitoutunut tarjoamaan luotettavia syklodekstriinipohjaisia ​​ratkaisuja.


Halutessasi voin myös:


  • Optimoi tämä edelleen Google SEO:lle (teknisen sävyn heikentämättä)
  • Tiivistä se tuotesivun "Tekninen päivitys" -versioksi
  • Mukauta se sääntely-/laatuasiakkaille


Kerro vain, missä aiot julkaista sen.


Lähetä kysely


icon
X
Käytämme evästeitä tarjotaksemme sinulle paremman selauskokemuksen, analysoidaksemme sivuston liikennettä ja mukauttaaksemme sisältöä. Käyttämällä tätä sivustoa hyväksyt evästeiden käytön. Tietosuojakäytäntö
Hylätä Hyväksyä