X
IMG
VIDEO

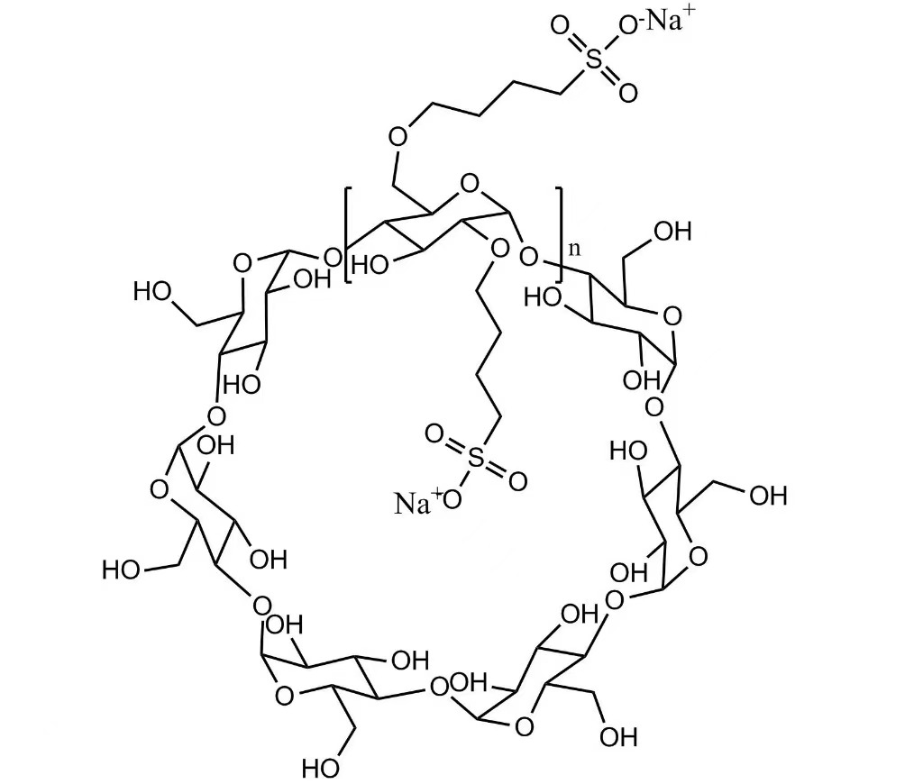
SBE-β-CD sulfobutyylieetteri beeta-syklodekstriininatrium injektoitava farmaseuttinen apuaine

Tukkumyynti SBE-β-CD Sulfobutyylieetteri-beeta-syklodekstriininatrium injektoitava farmaseuttinen apuaine, valmistettu Kiinassa DELI:ltä. SBE-β-CD (sulfobutyylieetteribeeta-syklodekstriininatrium) on erittäin vesiliukoinen injektoitava farmaseuttinen apuaine, jota käytetään parantamaan huonosti liukenevien API:iden liukoisuutta, stabiilisuutta ja turvallisuutta palautuvan inkluusiokompleksin muodostuksen avulla.

Lähetä kysely

Tuotteen Kuvaus


SBE-β-CD sulfobutyylieetteri beeta-syklodekstriininatrium injektoitava farmaseuttinen apuaine

SBE-β-CD (Sulfobutyether Beta Cyclodexrin Sodium) on erittäin vesiliukoinen, anioninen β-syklodekstriinijohdannainen, joka on suunniteltu injektoitaviin farmaseuttisiin sovelluksiin. Se muodostaa stabiileja, ei-kovalenttisia inkluusiokomplekseja aktiivisten farmaseuttisten aineosien (API:iden) kanssa, mikä parantaa merkittävästi huonosti vesiliukoisten lääkkeiden liukoisuutta, stabiilisuutta ja turvallisuutta.

Erinomaisen biologisen yhteensopivuuden, alhaisen hemolyyttisen aktiivisuutensa ja kontrolloidun toksisuusprofiilinsa ansiosta SBE-β-CD:tä käytetään laajalti parenteraalisissa lääkkeenantojärjestelmissä useilla terapeuttisilla alueilla.


Tärkeimmät edut


SBE-β-CD parantaa hydrofobisten API:iden vesiliukoisuutta säilyttäen samalla formulaation turvallisuuden. Verrattuna perinteisiin liuotusaineisiin, sillä on vähentynyt munuaistoksisuus ja pienempi ärsytys injektiokohdissa, mikä tekee siitä sopivan toistuvaan parenteraaliseen antoon.


Farmaseuttiset sovellukset


SBE-β-CD:tä käytetään ensisijaisesti injektoivissa ja steriileissä formulaatioissa, mukaan lukien suonensisäiset, lihaksensisäiset ja ihonalaiset annosmuodot. Sitä käytetään yleisesti antiviraalisissa, sienilääkkeissä, onkologioissa ja sydän- ja verisuonilääkkeissä, joissa korkea liukoisuus ja formulaation stabiilisuus ovat kriittisiä.


Tuotteen tekniset tiedot


Kemiallinen nimi Sulfobutyylieetteri-beeta-syklodekstriininatrium
CAS-nro 182410-00-0
Ulkonäkö Valkoinen tai luonnonvalkoinen amorfinen jauhe
Luokka Injektoitava farmaseuttinen apuaine
Liukoisuus Liukenee vapaasti veteen
Määritys 95,0–105,0 % (vedetön)
Keskimääräinen korvausaste (DS) 6.2 – 6.9
Bakteerien endotoksiinit ≤ 10 EU/g
Standardit USP / EP
Säilyvyys 36 kuukautta


Pakkaustiedot


Saatavilla olevat pakkausvaihtoehdot sisältävät 500 g/säkki, 1 kg/pussi, 10 kg/pussi ja 10 kg/tynnyri. Räätälöity pakkaus on saatavilla pyynnöstä kaupalliseen toimitukseen.


Laadunvarmistus


Kaikki SBE-β-CD-erät valmistetaan tiukan laatujärjestelmän mukaisesti ja niille tehdään kattava analyyttinen testaus. Keskeisiä laatuparametreja, kuten epäpuhtaudet, endotoksiinit, substituutioaste ja erien välinen konsistenssi, valvotaan tiukasti.

Jokaisen lähetyksen mukana on analyysitodistus (COA), jolla varmistetaan täydellinen jäljitettävyys ja säädöstenmukaisuus.


Yrityksen pätevyydet ja sertifioinnit


Xi'an Deli Biochemical Industry Co., Ltd. on korkean teknologian yritys, joka on erikoistunut syklodekstriinien ja niiden johdannaisten tutkimukseen, kehittämiseen ja valmistukseen. Vuonna 1999 perustetulla yrityksellä on yli 26 vuoden kokemus alalta.

Yhtiöllä on lääkkeiden apuaineiden tuotantolinjoja valvotuilla puhtailla tuotantoalueilla. Sen laadunhallintajärjestelmä on läpäissyt ISO 9001 -sertifioinnin, ja ydintuotteet on rekisteröity tai arkistoitu asianmukaisille sääntelyviranomaisille, mukaan lukien FDA.


Valmistuskyky


Xi'an Deli Biochemical on perustanut laajan kaupallisen tuotantokapasiteetin SBE-β-CD:lle, mikä varmistaa luotettavan pitkän aikavälin toimituksen maailmanlaajuisille lääkeasiakkaille.

Vuotuinen tuotantokapasiteetti ylittää 200 tonnia, ja tyypillinen eräkoko on noin 2,5 tonnia.


FAQ

Kysymys 1: Mikä on SBE-β-CD:n päätehtävä injektiovalmisteissa?
V: SBE-β-CD toimii ensisijaisesti liukoisena aineena ja stabilointiaineena parantaen vesiliukoisuutta ja huonosti vesiliukoisten API:iden turvallisuutta palautuvan inkluusiokompleksin muodostuksen kautta.


Kysymys 2: Sopiiko SBE-β-CD toistuvaan suonensisäiseen antoon?
V: Kyllä. SBE-β-CD:llä on alhainen hemolyyttinen aktiivisuus ja vähentynyt munuaistoksisuus verrattuna perinteisiin liuotusaineisiin, mikä tekee siitä sopivan toistuvaan parenteraaliseen käyttöön.


Q3: Onko tuotteesi farmakopean standardien mukainen?
V: SBE-β-CD-levymme täyttää USP- ja EP-vaatimukset ja on valmistettu sertifioidun laatujärjestelmän mukaisesti.


Q4: Voidaanko teknisiä asiakirjoja toimittaa?
V: Kyllä. Aitoustodistus, tekniset tiedot ja tekniset tiedot ovat saatavilla pyynnöstä.



Hot Tags: SBE-β-CD Sulfobutyylieetteri beeta-syklodekstriininatrium injektoitava farmaseuttinen apuaine, valmistajat, toimittajat, Kiina, tehdas, irtotavarana, ilmainen näyte, valmistettu Kiinassa, varastossa, tukkumyynti, osta

Aiheeseen liittyvä luokka

Lähetä kysely

Ole hyvä ja lähetä kyselysi alla olevalla lomakkeella. Vastaamme sinulle 24 tunnin kuluessa.
icon
X
Käytämme evästeitä tarjotaksemme sinulle paremman selauskokemuksen, analysoidaksemme sivuston liikennettä ja mukauttaaksemme sisältöä. Käyttämällä tätä sivustoa hyväksyt evästeiden käytön. Tietosuojakäytäntö
Hylätä Hyväksyä