Sulfobutyylieetteri beeta-syklodekstriininatrium-injektioluokka CAS 182410 00 0
  • Sulfobutyylieetteri beeta-syklodekstriininatrium-injektioluokka CAS 182410 00 0 Sulfobutyylieetteri beeta-syklodekstriininatrium-injektioluokka CAS 182410 00 0

Sulfobutyylieetteri beeta-syklodekstriininatrium-injektioluokka CAS 182410 00 0

Sulfobutyylieetteri-beeta-syklodekstriininatriuminjektioluokka CAS 182410 00 0 toimitetaan farmaseuttisena apuaineena, joka täyttää USP- ja EP-vaatimukset. Tuote valmistetaan ruiskutuslaadulla, jolla on kontrolloitu vaihtoaste ja tasalaatuinen erä.

Lähetä kysely

Tuotteen Kuvaus

Sulfobutyylieetteri beeta-syklodekstriininatrium-injektioluokka CAS 182410 00 0

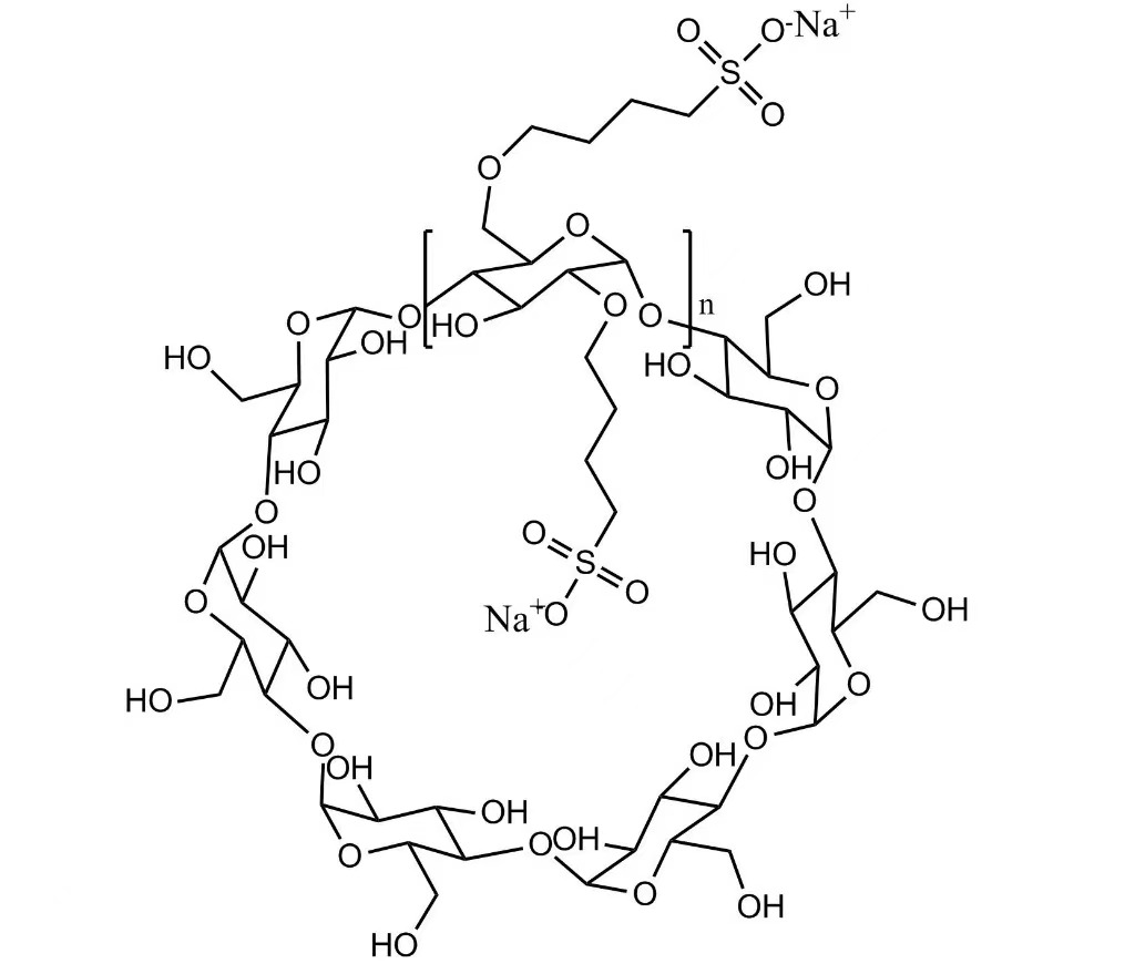
Sulfobutyylieetteri-beeta-syklodekstriininatriuminjektiolaatu on erittäin vesiliukoinen anioninen syklodekstriinijohdannainen, joka on suunniteltu farmaseuttisiin sovelluksiin. Xi'an DELI Biochemical Industry Co., Ltd.:n valmistamaa tuotetta käytetään laajalti farmaseuttisena apuaineena parantamaan heikosti veteen liukenevien aktiivisten farmaseuttisten aineosien (API) liukoisuutta, stabiilisuutta ja turvallisuutta, erityisesti injektoivissa formulaatioissa.

Valvotulla korvausasteella ja tasaisella laadulla tämä injektiolaatuinen tuote soveltuu säänneltyyn lääkekehitykseen ja kaupalliseen valmistukseen.

Tuotteen yleiskatsaus

Sulfobutyylieetteri-beetasyklodekstriininatriuminjektiolaatu CAS 182410 00 0 on kemiallisesti modifioitu beetasyklodekstriini, jossa on sulfobutyylieetteriryhmiä. Anioninen luonne ja korkea vesiliukoisuus mahdollistavat sen, että se voi muodostaa palautuvia inkluusiokomplekseja useiden lääkemolekyylien kanssa ei-kovalenttisten vuorovaikutusten kautta.

Verrattuna natiiviin beetasyklodekstriiniin, SBE-β-CD:llä on alhaisempi toksisuus ja parempi yhteensopivuus parenteraalista antoa varten, mikä tekee siitä yhden edullisista syklodekstriinijohdannaisista injektiolaatuisiin farmaseuttisiin formulaatioihin.

Tärkeimmät tuotteen edut

  1. Erinomainen vesiliukoisuus ja vahva liukenemiskyky heikosti liukeneville API:ille
  2. Parantaa formulaation stabiilisuutta palautuvan inkluusiokompleksin muodostumisen kautta
  3. Parantaa turvallisuusprofiilia verrattuna alkuperäiseen beetasyklodekstriiniin
  4. Vähentää munuaistoksisuutta ja hemolyysiriskiä injektiolääkkeissä
  5. Hallittu keskimääräinen korvausaste varmistaa eräkohtaisen johdonmukaisuuden
  6. Soveltuu parenteraalisille, oftalmisille, nasaalisille ja inhaloitaville formulaatioille


Sovellusalueet

Sulfobutyylieetteri-beeta-syklodekstriininatrium-injektiolaatua käytetään pääasiassa ei-oraalisissa farmaseuttisissa annosmuodoissa, jotka edellyttävät formulaatioarviointia.


  • Injektoitavat liuokset
  • Lyofilisoidut jauheet injektiota varten
  • Oftalmiset formulaatiot
  • Nenävalmisteet
  • Hengitysvalmisteet

  • Se soveltuu erityisen hyvin lääkeehdokkaille, joilla on alhainen vesiliukoisuus ja stabiilisuushaasteet formulaatiokehityksen aikana.


    Tyypilliset käyttötavat ruiskeena käytettävien lääkkeiden kehittämisessä

    Injektoitavien lääkkeiden kehittämisessä sulfobutyylieetteri-beeta-syklodekstriininatriumia käytetään parantamaan lääkkeen liukenemista, estämään saostumista laimentamisen jälkeen ja parantamaan yleistä formulaation stabiilisuutta. Se myös parantaa potilaan sietokykyä vähentämällä paikallista ärsytystä pistoskohdassa.

    Tuote valitaan yleisesti innovatiivisiin lääkeannostelujärjestelmiin, monimutkaisiin injektoitaviin formulaatioihin ja lääkkeisiin, jotka vaativat korkeaa liukenemistehokkuutta ja joiden turvallisuus on todistettu.


    Tuotteen tekniset tiedot

    Tuotteen nimi:Sulfobutyylieetteri beeta-syklodekstriininatrium
    CAS-nro:182410-00-0
    Molekyylikaava:C42H70-n035·(C4H8SO3Na)n
    Luokka:Injektioluokka
    Executive Standard:USP / EP / Enterprise Standard
    Sovellus:Farmaseuttinen apuaine

    Pakkaus:500 g/pussi; 1 kg/pussi; 10 kg/pussi; 10kg/rumpu
    Varastointi:Säilytä tiiviisti suljetussa astiassa, suojassa kosteudelta ja suoralta valolta.


    Laatu ja vaatimustenmukaisuus

    Tämä injektiolaatuinen sulfobutyylieetteribeeta-syklodekstriininatrium on valmistettu kattavan laadunhallintajärjestelmän alaisuudessa. Keskeisiä laatuominaisuuksia, mukaan lukien tunnistaminen, määritys, keskimääräinen substituutioaste, jäännösepäpuhtaudet, endotoksiinitasot ja mikrobien rajat, valvotaan tiukasti.

    Jokainen erä testataan sen varmistamiseksi, että ne ovat farmakopean vaatimusten ja sisäisten eritelmien mukaisia, mikä takaa luotettavan suorituskyvyn sekä formulaatiokehityksessä että kaupallisessa lääkevalmistuksessa.


    Analyysitodistus (COA)

    Jokaisesta tuotantoerästä toimitetaan yksityiskohtainen analyysitodistus. Aitoustodistus sisältää testikohteet, kuten ulkonäön, tunnistamisen, määrityksen, epäpuhtaudet, keskimääräisen substituutioasteen, endotoksiinit ja mikrobirajoitukset täyden jäljitettävyyden ja laadun läpinäkyvyyden varmistamiseksi.


    Usein kysytyt kysymykset (FAQ)

    K: Soveltuuko tämä tuote injektoitaviin formulaatioihin?
    V: Kyllä. Tämä tuote on erityisesti valmistettu injektiolaatuna ja sitä käytetään laajalti parenteraalisissa lääkevalmisteissa.

    K: Onko tuote USP- ja EP-standardien mukainen?
    V: Kyllä. Se on valmistettu USP- ja EP-vaatimusten sekä yrityksen sisäisten laatustandardien mukaisesti.

    K: Voiko koostumuksen arviointia varten toimittaa näytteitä?
    V: Kyllä. Näytteitä voidaan toimittaa pyynnöstä formulaatiotestausta ja teknistä arviointia varten.

    K: Onko tämä tuote suoraan yrityksesi valmistama?
    V: Kyllä. Sulfobutyylieetteribeeta-syklodekstriininatriuminjektiolaatua valmistaa Xi'an DELI Biochemical Industry Co., Ltd. itse. Olemme suora valmistaja, jolla on omat tuotantolaitoksemme ja laadunvalvontajärjestelmämme.

    K: Oletko valmistaja vai kauppayhtiö?
    V: Olemme ammattimainen valmistaja, joka on erikoistunut syklodekstriiniin ja syklodekstriinijohdannaisiin ja joka toimittaa tuotteita suoraan tehtaaltamme ilman välittäjiä.

    K: Onko erien välinen johdonmukaisuus taattu?
    V: Kyllä. Valvotut tuotantoprosessit ja tiukka laadunvalvonta takaavat tasaisen suorituskyvyn eristä toiseen.

    K: Missä annosmuodoissa tätä tuotetta tyypillisesti käytetään?
    V: Sitä käytetään pääasiassa ei-oraalisissa annostusmuodoissa, kuten injektioliuoksessa, lyofilisoiduissa injektiojauheissa, oftalmisissa formulaatioissa, nenävalmisteissa ja inhaloitavissa valmisteissa, joihin sovelletaan formulaatioarviointia.

    K: Onko saatavilla teknistä dokumentaatiota viranomaisrekisteröinnin tukemiseksi?
    V: Kyllä. Teknisiä asiakirjoja ja laatuun liittyviä materiaaleja voidaan toimittaa avuksi formulaatioiden kehittämisessä ja tuotteen rekisteröinnissä.


    Miksi valita Xi'an DELI

    Xi'an DELI Biochemical Industry Co., Ltd:llä on yli 26 vuoden kokemus syklodekstriinin ja syklodekstriinijohdannaisten valmistuksesta. Yritys keskittyy farmaseuttisiin apuaineisiin ja tarjoaa vakaan toimituksen, tasaisen laadun ja ammattitaitoisen teknisen tuen asiakkaille kaikkialla maailmassa.

    Sulfobutyylieetteri-beeta-syklodekstriininatrium-injektiolaadun luotettavana valmistajana ja toimittajana Xi'an DELI tukee asiakkaita varhaisesta formulaatiokehityksestä kaupalliseen tuotantoon.



    Hot Tags: Sulfobutyylieetteri beeta-syklodekstriininatrium-injektioluokka CAS 182410 00 0, valmistajat, toimittajat, Kiina, tehdas, irtotavarana, ilmainen näyte, valmistettu Kiinassa, varastossa, tukkumyynti, osta

    Aiheeseen liittyvä luokka

    Lähetä kysely

    Ole hyvä ja lähetä kyselysi alla olevalla lomakkeella. Vastaamme sinulle 24 tunnin kuluessa.
    icon
    X
    Käytämme evästeitä tarjotaksemme sinulle paremman selauskokemuksen, analysoidaksemme sivuston liikennettä ja mukauttaaksemme sisältöä. Käyttämällä tätä sivustoa hyväksyt evästeiden käytön. Tietosuojakäytäntö
    Hylätä Hyväksyä