Sulfobutyylieetteri-beeta-syklodekstriininatriumjauhe
IMG
VIDEO

Sulfobutyylieetteri-beeta-syklodekstriininatriumjauhe

Sulfobutyylieetteri-beeta-syklodekstriininatriumjauhe
CAS-numero: 182410-00-0
Ulkonäkö: Valkoinen tai luonnonvalkoinen amorfinen jauhe
Arvosana: Injektioluokka / Farmaseuttinen apuaine
Määritys: ≥ 99,0 % (vedettömältä pohjalta)
Liukoisuus: Liukenee hyvin veteen
Bakteerien endotoksiinit: ≤ 10 EU/g
Executive Standard: USP / EP / ChP

Lähetä kysely

Tuotteen Kuvaus


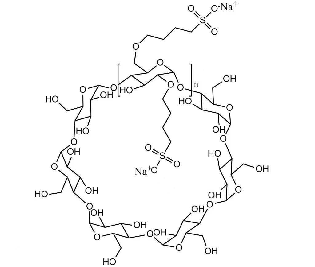
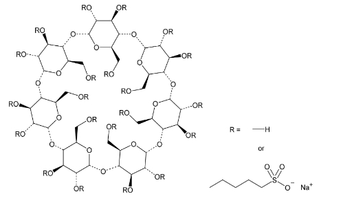
Mikä on sulfobutyylieetteribeeta-syklodekstriininatriumjauhe?


Sulfobutyylieetteri-beeta-syklodekstriininatriumjauhe on erittäin vesiliukoinen, anioninen β-syklodekstriinijohdannainen, jota käytetään farmaseuttisena apuaineena. Sitä valmistetaan modifioimalla kemiallisesti beetasyklodekstriiniä sulfobutyylieetteriryhmillä kontrolloiduissa emäksissä, jolloin saadaan natriumsuola, jolla on erinomaiset liukenemisominaisuudet.

Tämä ruiskeena käytettävä apuaine on suunniteltu muodostamaan stabiileja, ei-kovalenttisia inkluusiokomplekseja heikosti liukenevien aktiivisten farmaseuttisten aineosien (API) kanssa. Sulfobutyylieetteri-beeta-syklodekstriininatriumjauhe kapseloimalla lääkemolekyylejä parantaa merkittävästi lääkkeen liukoisuutta, stabiilisuutta ja biologista hyötyosuutta samalla, kun se vähentää paikallista ärsytystä, hemolyysiä ja munuaistoksisuutta.

Korkean turvallisuusprofiilinsa ja vahvan kompleksointikykynsä vuoksi sulfobutyylieetteribeeta-syklodekstriininatriumjauhetta käytetään laajalti parenteraalisissa farmaseuttisissa formulaatioissa, erityisesti sieni-, virus-, onkologia- ja sydän- ja verisuonilääkkeissä. Se täyttää tärkeimmät farmakopean standardit, kuten USP ja EP, ja soveltuu kliinisiin ja kaupallisiin lääkesovelluksiin.


Sulfobutyylieetteri-beeta-syklodekstriininatriumjauheen erittely


Tuote nminulle
Sulfobutyylieetteri-beeta-syklodekstriininatrium
CAS-nro
182410-00-0
Ulkonäkö Valkoinen tai melkein valkoinen, hygroskooppinen jauhe.
Executive Standard USP / EP / ChP
Pakkaus 500 g/pussi; 1 kg/pussi; 10 kg/pussi; 10kg/rumpu
Synonyymit SBE-p-CD; sulfobutyylieetteri beeta-syklodekstriini; Betadex-sulfobutyylieetterin natrium
MÄÄRITYS ≥ 99 %
Bakteerien endotoksiinit
≤10EU/g
MOQ 1 kg


Sulfobutyylieetteri-beeta-syklodekstriininatriumjauhe COA


Mikä on sulfobutyylieetteribeeta-syklodekstriinin (SBECD) käyttö ja hyödyt?

1. Sulfobutyylieetteri-beeta-syklodekstriinin (SBECD) käyttötarkoitukset

Sulfobutyylieetteri-beeta-syklodekstriiniä (SBECD) käytetään pääasiassa farmaseuttisena apuaineena, erityisesti:


  • Injektoitavat (parenteraaliset) lääkevalmisteet
  • Oftalmiset (silmä)valmisteet
  • Nenän ja keuhkojen lääkkeenantojärjestelmät
  • Huonosti vesiliukoisten API:iden formulaatiot, kuten sieni-, virus-, syöpä- ja sydän- ja verisuonilääkkeet


2. Sulfobutyylieetteri-beeta-syklodekstriinin (SBECD) edut


  • Parantaa merkittävästi huonosti liukenevien lääkkeiden vesiliukoisuutta
  • Parantaa lääkkeen stabiilisuutta muodostamalla ei-kovalenttisia inkluusiokomplekseja
  • Parantaa lääketurvallisuutta erityisesti injektiovalmisteiden kohdalla
  • Vähentää munuaisten toksisuutta verrattuna joihinkin perinteisiin liuotusaineisiin
  • Minimoi hemolyysin ja pistoskohdan ärsytyksen
  • Säätelee lääkkeen vapautumisnopeutta ja parantaa terapeuttista suorituskykyä
  • Peittää API:iden epämiellyttävän hajun tai maun
  • Korkea vesiliukoisuus ja alhainen toksisuus, sopii parenteraaliseen käyttöön

Miksi valita meidät?


Yli 20 vuoden valmistuskokemus

Yli kahden vuosikymmenen kokemuksella syklodekstriinin ja syklodekstriinijohdannaisten valmistuksesta Xi'an Deli Biochemical Industry Co., Ltd. on rakentanut vankan maineen tuotteiden laadusta, prosessin vakaudesta ja luotettavasta toimituksesta.


Laaja ja vakaa tuotantokapasiteetti

Käytämme teollisen mittakaavan tuotantolinjoja, joiden vuotuinen kapasiteetti on 500 tonnia hydroksipropyylibetadexia ja 200 tonnia Betadex-sulfobutyylieetterinatriumia, mikä varmistaa vakaan toimituksen pitkäaikaisiin kaupallisiin ja kliinisiin sovelluksiin.


Lääketason laadunvarmistus

Tuotteemme valmistetaan tiukan laatujärjestelmän alaisena, ja niissä on oma D-luokan puhdasalue, joka on suunniteltu lääketuotannon vaatimusten mukaisesti. Kattava prosessinaikainen ja lopputuotteen testaus takaa erinomaisen erien välisen johdonmukaisuuden.


Kehittyneet analyyttiset ja testausominaisuudet

Nykyaikaisilla analyyttisilla laitteilla, kuten HPLC:llä, GC:llä, IC:llä, kapillaarielektroforeesilla, FTIR- ja NMR-tuetuilla testeillä varustettu laboratoriomme pystyy täyttämään USP:n, EP:n ja ChP:n farmakopean vaatimukset, mikä tukee formulaatioiden kehitystä ja säännösten noudattamista.


Sääntelytuki ja globaali markkinakokemus

Tärkeimmät tuotteemme, mukaan lukien Hydroxypropyl Betadex ja Betadex Sulfobutyl Ether Sodium, on rekisteröity ja toimitettu FDA:lle, mikä osoittaa kokemuksemme asiakkaidemme tukemisesta maailmanlaajuisilla lääkemarkkinoilla.


Asiakaslähtöinen tekninen tuki

Tarjoamme ammattitaitoista teknistä tukea, dokumentointiapua ja formulointiin liittyvää opastusta ja teemme tiivistä yhteistyötä asiakkaiden kanssa varhaisesta kehityksestä pitkän aikavälin kaupallisiin toimituksiin.


Yrityksen pätevyys

Xi'an Deli Biochemical Industry Co., Ltd.:n sertifikaatit.

Vuosien varrella Xi'an Deli Biochemical Industry Co., Ltd. on jatkuvasti sitoutunut tuotantoprosessin optimointiin ja kattavan laadunhallintajärjestelmän luomiseen syklodekstriineille ja niiden johdannaisille.


FAQ

1. Oletko valmistaja vai kauppayhtiö?

Olemme ammattimainen valmistaja, joka on erikoistunut syklodekstriiniin ja syklodekstriinijohdannaisiin. Kaikki tuotteet valmistetaan omassa tuotantolaitoksessamme Xi'anissa, Kiinassa.


2. Mitkä ovat päätuotteesi?

Päätuotteemme ovat Hydroxypropyl Betadex (HPBCD) ja Betadex Sulfobutyl Ether Nadium (SBECD), joita käytetään laajalti farmaseuttisina apuaineina, erityisesti injektio- ja oraalisissa formulaatioissa.


3. Ovatko tuotteesi farmakopean standardien mukaiset?

Kyllä. Tuotteemme ovat USP:n, EP:n ja Kiinan farmakopean vaatimusten mukaisia. Jokaisen erän mukana toimitetaan täydelliset analyysitodistukset (COA).


4. Toimitatko injektoitavaa materiaalia?

Kyllä. Olemme erikoistuneet injektoitaviin syklodekstriinijohdannaisiin, joissa on tiukka epäpuhtauksien, endotoksiinien ja erien välinen konsistenssi.


5. Mikä on tuotantokapasiteettisi?

Hydroksipropyyli Betadex: 500 tonnia vuodessa

Betadex Sulfobutyl Ether Natrium: 200 tonnia vuodessa


6. Toimitatko näytteitä arviointia varten?

Kyllä. Ilmaisia ​​näytteitä on saatavilla pyynnöstä formulaatiokehitystä ja testausta varten.


7. Voitko tukea pitkän aikavälin kaupallista tarjontaa?

Kyllä. Laajamittainen tuotantolinjojen ja vakaiden laatujärjestelmien avulla tuemme pitkäaikaista ja kaupallisen mittakaavan toimitusta maailmanlaajuisille lääkeasiakkaille.


8. Mitä laatujärjestelmiä noudatat?

Toimimme ISO 9001:2015 -standardin mukaisesti, ja sitä tukevat kehittyneet analyyttiset laitteet ja oma laadunvalvontalaboratorio tuotteiden johdonmukaisuuden ja vaatimustenmukaisuuden varmistamiseksi.



Hot Tags: Sulfobutyylieetteri Beta syklodekstriininatriumjauhe, valmistajat, toimittajat, Kiina, tehdas, irtotavarana, ilmainen näyte, valmistettu Kiinassa, varastossa, tukkumyynti, osta

Aiheeseen liittyvä luokka

Lähetä kysely

Ole hyvä ja lähetä kyselysi alla olevalla lomakkeella. Vastaamme sinulle 24 tunnin kuluessa.
icon
X
Käytämme evästeitä tarjotaksemme sinulle paremman selauskokemuksen, analysoidaksemme sivuston liikennettä ja mukauttaaksemme sisältöä. Käyttämällä tätä sivustoa hyväksyt evästeiden käytön. Tietosuojakäytäntö
Hylätä Hyväksyä